题目思路很新颖,需要通过分析代码理解背后的数学公式
比赛期间的分析
ida逆向,发现init_array有自修改
主要函数:
sub_1301:
double __fastcall sub_1301(double x)
{
int i; // [rsp+Ch] [rbp-1Ch]
double power; // [rsp+10h] [rbp-18h]
double sum; // [rsp+18h] [rbp-10h]
double factorial; // [rsp+20h] [rbp-8h]
power = 1.0;
sum = 1.0;
factorial = 1.0;
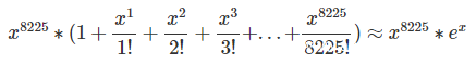
for ( i = 1; i <= 8225; ++i )
{
power = power * x;
factorial = (double)i * factorial;
sum = power / factorial + sum;
}
return power * sum;
}
sub_11C9:
double __fastcall sub_11C9(double (__fastcall *f)(double), double a, double b)
{
double v4; // [rsp+0h] [rbp-40h]
int i; // [rsp+20h] [rbp-20h]
double v7; // [rsp+28h] [rbp-18h]
double v8; // [rsp+30h] [rbp-10h]
double delta; // [rsp+38h] [rbp-8h]
delta = (b - a) / (double)1000;
v7 = f(delta / 2.0 + a);
v8 = 0.0;
for ( i = 1; i < 1000; ++i )
{
v7 = f(delta / 2.0 + (double)i * delta + a) + v7;
v8 = f((double)i * delta + a) + v8;
}
v4 = 4.0 * v7 + f(a) + v8 + v8;
return (f(b) + v4) * delta / 6.0;
}
辛普森积分公式
(https://baike.baidu.com/item/%E8%BE%9B%E6%99%AE%E6%A3%AE%E7%A7%AF%E5%88%86%E6%B3%95)
sub_13F3:
double __fastcall sub_13F3(int n)
{
int i; // [rsp+8h] [rbp-Ch]
double v; // [rsp+Ch] [rbp-8h]
v = 0.2021;
for ( i = 0x2021; i < n; ++i )
v = 2.718281828459045 - (double)i * v;
return v;
}
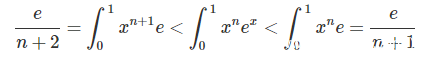
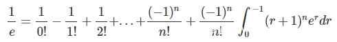
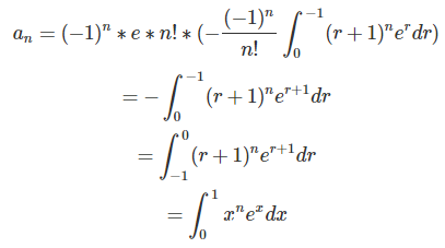
初始的0.2021会被 init_array 中的 sub_1391 修改为sub_11C9(sub_1301, 0.0, 1.0),理论上应等于:
由分部积分公式可得:
记

sub_13F3(n)实质上是在计算
(这里的问题在于浮点数计算精度不够,中途出现了inf,导致事实上永远无法计算出最终的结果)
main
__int64 __fastcall main(int a1, char **a2, char **a3)
{
__int64 result; // rax
int i; // [rsp+Ch] [rbp-44h]
char s[8]; // [rsp+20h] [rbp-30h] BYREF
__int64 v6; // [rsp+28h] [rbp-28h]
__int64 v7; // [rsp+30h] [rbp-20h]
__int64 v8; // [rsp+38h] [rbp-18h]
__int64 v9; // [rsp+40h] [rbp-10h]
unsigned __int64 v10; // [rsp+48h] [rbp-8h]
v10 = __readfsqword(0x28u);
*(_QWORD *)s = 0LL;
v6 = 0LL;
v7 = 0LL;
v8 = 0LL;
v9 = 0LL;
__isoc99_scanf("%39s", s);
if ( strlen(s) == 38 )
{
for ( i = 0; i <= 37; i += 2 )
{
if ( dbl_4020[i / 2] != sub_13F3(*(unsigned __int16 *)&s[i]) )
goto LABEL_2;
}
puts("correct");
result = 0LL;
}
else
{
LABEL_2:
puts("wrong");
result = 0LL;
}
return result;
}
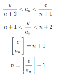
main函数把flag每两字节转换为一个整数n,计算sub_13F3(n),然后与目标常量作比较。
注意到
n增大是递减的,在保证定积分的计算精度的前提下,对每个目标常量二分查找n即可
(计算方法参考:https://blog.csdn.net/Dennis_BIRL/article/details/53350414)
from math import e
def p16(n):
return n.to_bytes(2, "little")
global_cache = [None]*0x10000
v = 0.00004147642328261315 # n=0x10000
for i in range(0x10000, 0, -1):
lastv = v
v = (e-v)/i
assert v > lastv
global_cache[i-1] = v
def calc(n):
global global_cache
assert n < 0x10000
if global_cache[n]:
return global_cache[n]
assert 0
def bsearch(d):
a = 0x2020
fa = calc(a)
b = 0x7f7f
fb = calc(b)
while True:
mid = (a+b)//2
assert a <= mid <= b
if mid == a:
assert fa >= d >= fb
return a if fa-d < d-fb else b
fmid = calc(mid)
assert fa >= fmid >= fb
if fmid > d:
a = mid
fa = fmid
else:
b = mid
fb = fmid
# dbl_4020
numbers = [
0.00009794904266317233, 0.00010270456917442, 0.00009194256152777895,
0.0001090322021913372, 0.0001112636336217534, 0.0001007442677411854,
0.0001112636336217534, 0.0001047063607908828, 0.0001112818534005219,
0.0001046861985862495, 0.0001112818534005219, 0.000108992856167966,
0.0001112636336217534, 0.0001090234561758122, 0.0001113183108652088,
0.0001006882924839248, 0.0001112590796092291, 0.0001089841164633298,
0.00008468431512187874
]
finalnums = [bsearch(d) for d in numbers]
flag = b""
for n in finalnums:
flag += p16(n)
print(flag) # flag{saam_dim_gei_lei_jam_caa_sin_laa}
(正确的flag输入给程序却返回wrong,作为逆向题不该这样吧2333)
赛后分析1
看到其他队的writeup,直接用e除以最终比较的数就能直接得到flag……(这就是这题做出人数这么多的原因吗?)
尝试推导一波:
在 
同时乘
计算定积分:
记
则有
所以可以直接用e除以最终比较的数得出flag
from math import e
def p16(n):
return n.to_bytes(2, "little")
# dbl_4020
numbers = [
0.00009794904266317233, 0.00010270456917442, 0.00009194256152777895,
0.0001090322021913372, 0.0001112636336217534, 0.0001007442677411854,
0.0001112636336217534, 0.0001047063607908828, 0.0001112818534005219,
0.0001046861985862495, 0.0001112818534005219, 0.000108992856167966,
0.0001112636336217534, 0.0001090234561758122, 0.0001113183108652088,
0.0001006882924839248, 0.0001112590796092291, 0.0001089841164633298,
0.00008468431512187874
]
finalnums = [int(e/n)-1 for n in numbers]
flag = b""
for n in finalnums:
flag += p16(n)
print(flag)
赛后分析2
即使没有init_array的提示,单纯根据sub_13F3的递推式也是可以得到积分式的
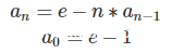
已知
两边同时除以 
迭代下去,得出通项公式:
考虑 
代入 
代入到通项公式中:














